多元函数微分学

多元函数微分学
XingJiのBlog二元函数极限与连续性
等价无穷小点的替换:
例题-1:
例题-2:(了解)
如何求**二重极限**
求**偏导数**和二阶偏导数
求导公式:
一阶偏导数例题:
二阶偏导数例题:
技巧:
例题:
求全微分
全微分计算公式:
全微分求解:
例题:
求复合函数的偏导
复合函数求偏导:
例题:
隐函数求偏导数
隐函数求偏导数:
例题:
求多元函数极值
极值定理:
例题:
方向导数与梯度
求方向导数:
例题:
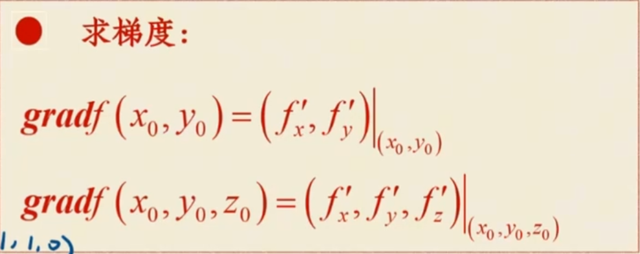
求梯度:
例题:
求在点处的最大方向导数:
连续,可偏导,可微分,方向导数的关系
关系金字塔(强能推弱-平级之间也不能相互推导):
例题:
隐函数存在定理(了解)
隐函数存在定理:
例题:
评论
匿名评论隐私政策
✅ 你无需删除空行,直接评论以获取最佳展示效果





































